
Maple计算器是一款人气非常高的常用工具类软件,这款软件中有很多非常强大的功能,用户通过这款软件可以享受到全面而高效的数学计算解决方案,不仅满足了从基础数学计算到高级科学研究的广泛需求,更以其便捷的操作界面、丰富的绘图功能和强大的编程能力,赢得了教育工作者、科研人员及工程技术人员的广泛赞誉。
1、首先打开maple计算器手机版;

2、你可以随意输入公式、方程式等,可以清晰的查看到结果;

3、还可以输入复杂的方程式,也能自动显示计算的结果;

4、点击右上方按钮,还可以查看到方程两边的图;

5、求解x、化简、求微分等功能,非常好用。

evalf求解

100000000表示保留小数点后位数

虚数用大写I表示

factor合并同类项
expand展开

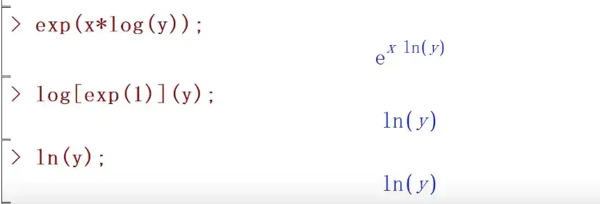
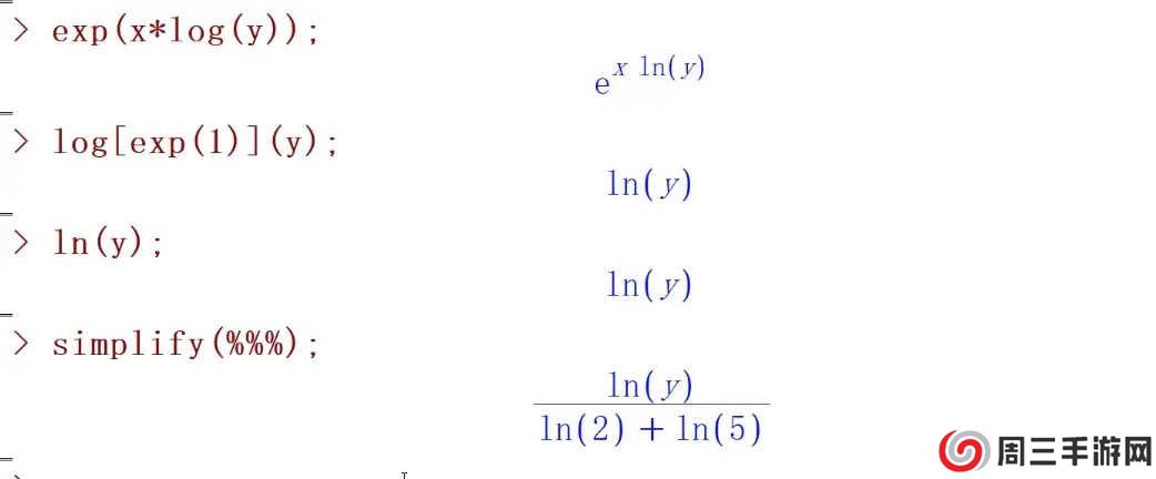
e的X次方输入用exp(x)

diff求导

log(x)、ln(x)

simplify(%)化简
%表示前一个
%%表示前面第二个,往上数

1、首先输入数字,然后点击图中的平方号

2、这样这个数的平方就即算出来了
3、点击左上角的科学符号,还可以展开更多的数学符号

4、点击英文字母可以调出26个字母

5、当打出x的平方时,还可以绘制出x二次方的函数图

1、简洁时尚的界面,不失科学计算的需要
2、历史记录功能,完整记录计算过程
3、通用科学计算器优化内存占用,可随时快速使用,在销售时使用
4、小巧而强大的万能科学计算器,我们始终坚持不做广告
/15.59MB
/98.65M
/16.40M
/15MB
/60.02M
/93.54M